Preterm babies require differing concentrations of oxygen to maintain them within the optimal saturation range, which is clearly the low 90’s, from all the data we have so far (Saugstad OD, Aune D. Optimal Oxygenation of Extremely Low Birth Weight Infants: A Meta-Analysis and Systematic Review of the Oxygen Saturation Target Studies. Neonatology. 2013;105(1):55-63.) Of course there are still many unknowns, such as the importance of intermittent hypoxia compared to persistently lower saturations, the importance of intermittent hyperoxia, which is not infrequent and may frequently follow apnea. How important is keeping the saturations stable? I think it probably is quite important, but extremely difficult to know, and difficult to achieve.
How do we make sure that preterm infants always get the dose of oxygen that will keep them in that range?
Many years ago there were publications about the development of servo-controlled oxygen blenders which were linked to transcutaneous oxygen electrodes. They never reached commercial exploitation.
Which has led to the current situation where oxygen saturation alarms are the most frequent alarms in the NICU, alarms which often require manual adjustment of oxygen dose, sometimes hundreds of times a day. There are now several servo-controlled oxygen dosing devices in various stages of development and exploitation.
I think these devices could be an enormous advance in neonatology, but there are a few things that will have to be addressed :
- How to ensure that the oxygen isn’t increased when a baby is apneic. If the baby isn’t breathing then increasing oxygen concentrations will be ineffective to improve saturations, and may well lead to fairly prolonged hyperoxia when they start breathing againvan (Zanten HA, et al. The risk for hyperoxaemia after apnoea, bradycardia and hypoxaemia in preterm infants. Archives of Disease in Childhood – Fetal and Neonatal Edition. 2014). On the other hand, there may well be lung volume loss during an apnea and an increase in VQ mismatch, and a temporary increase in O2 needs during recovery (I am not sure this has ever been demonstrated, but it is a possibility) which means that the O2 should probably remain constant during the apnea, but then be programmed to be ready to increase when the baby starts to breathe again.
- The linked concern is how we will be sure that post-apneic hyperoxia isn’t worsened by servo-controllers. I think it is likely to be improved, with more rapid reduction to baseline requirements.
- How to ensure that periodic breathing isn’t intensified and prolonged by the servo-controller. Periodic breathing is a pattern of breathing that is driven by the peripheral chemoreceptor. It is maintained by a phase-shift of stimulus (hypoxia) and response (increased respiratory drive consequent on increased chemoreceptor afferent activity), so when you examine recordings of babies with prolonged periodic breathing you will often see (depending on response times of all the elements in the system) that saturations are increasing when the baby is in the apneic phase and decreasing when the baby is breathing (Barrington KJ, Finer NN. Periodic breathing and apnea in preterm infants. Pediatr Res. 1990;27(2):118-21.) This happens because of the delays in the physiologic response system, in other words when a baby stops breathing it takes a while for the blood passing through the lungs to desaturate, even more time for that blood to reach the peripheral chemoreceptor (which is by the way the only part of the respiratory control system that responds directly to oxygen tension) and then more time again for the chemoreceptor responses to be translated into phrenic nerve activity. (and that explanation jumps over several intermediate steps). Periodic breathing can last for hours in some babies, and may be associated with large fluctuations in saturation. I think there is a real chance that servo-regulated FiO2 could re-inforce these cycles, and might lead to prolonged repetitive desaturation/resaturation events. Which might (or might not) be harmful.
- The pulse oximeters will continue to have alarms set, can we use these new systems to make the alarms smarter? In the NICU when a baby in in room air there is no value to having a high saturation alarm, so the high alarm is usually switched off. If the baby has a transient desaturation and the oxygen is increased a little, what often happens is that the baby will recover back to high saturations, and, as the high alarm was switched off, the baby may over-saturate for prolonged periods of time. It shouldn’t be too difficult, once there is a link between the oximeter and the oxygen blender, to switch of the high alarm when the baby is in room air, and switch it back on again when the baby is receiving oxygen.
As a result of these concerns, I think that we do need to prove that servo-regulated oxygen devices improve clinical outcomes, or at least does not worsen them.
The stimulus from this blog post came from a new study published by the neonatal group from Tasmania, (Plottier GK, et al. Clinical evaluation of a novel adaptive algorithm for automated control of oxygen therapy in preterm infants on non-invasive respiratory support. Archives of Disease in Childhood – Fetal and Neonatal Edition. 2016).
using a novel system that they have developed, they studied 10 preterm infants on non-invasive support with a cross-over design, and showed a major reduction in time outside the oximetry target range. Their new system incorporates several potential improvements in the response algorithms.
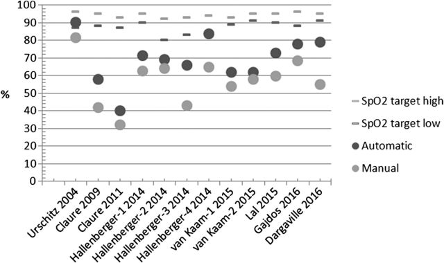
An accompanying editorial from Christian Poets and Axel Franz is well worth reading also, it includes this interesting graphic which shows, firstly that there are more stories than I was aware of, for each study they show with the small horizontal lines, what the target saturations were, i.e. they were between the light and dark grey lines. Then they show what proportion of time the manual adjustment of FiO2 and the automated control of FiO2 were within the target range.
Some of their interesting thoughts about this situation, you can see that the proportion of time within target range for manual control was extremely variable, these are all small corss-over studies, so it may be differences in the patients that is the reason behind this. All the studies showed more time in target range, and the degree of improvement was quite variable also, with the new study having one of the greatest improvements in percentage in the target range.
The new study also showed very little time with extreme hypoxia (<80%) and very little time with extreme hyperoxia while receiving oxygen, all of which were statistically significantly better than manual adjustment. The manual care periods were associated with more than 2 adjustments of oxygen of more than 1% per hour on average, the aut0matic by over 60 adjustments of more than 1% and about 600 adjustments per hour of at least 0.5%, which is the way the automated blender is controlled.
As I started off saying, I think this is going to be a major improvement in neonatal care, but as for many other things, we need to have some evidence of improved clinical outcomes, otherwise it will be difficult to get funding for the new equipment, installation and training that will be required.
Fortunately, as Poets and Franz note, there is a trial in the works for which funding has been approved. In the meantime continuing to improve the algorithms will be necessary.









Dr. Barrington
Thanks so much for the wonderful blog! I am concerned none of the large trials have looked at oxygen delivery rather than pulseox on both mortality and various morbidities. As we all know the oxygen delivery depends much more on hemoglobin and cardiac output than SaO2. I know some units which use a pulse ox limits of 80 to 94 ( target 84 to 93) with amazing survival data and low morbidities.
Regards
Mike